Dr. Feickert Analogue

Μηνύματα
90
Reaction score
275
Μεγειες...καλοακουστη η αναβαθμιση...

Απο τις δεκα εντολες παραπανω ξεχωριζω:
"¨Εχοντας ακούσει δεκάδες original master και κοπές τους σε βινύλιο, στην καλύτερη των περιπτώσεων με ιδανική κοπή και καλή ποιότητα βινυλίου θα είναι πάρα πολύ κοντά στο master"
και αμεσως μετα σε τελεια αντιθεση:
"σε συνθήκες ακρόασης σε studio mastering η σε αναλυτικά ηχεία-συστήματα με χαμηλό επίπεδο περιβάλοντος θορύβου, δυστυχώς κανένα πικάπ- βινύλιο δεν περνα το test"...
Ποιο τεστ?
Ποια ακριβως ειναι τα προβληματα που εντοπιζονται;

Ειχα δει καποτε ενα τεστ που εδειχνε ποση διαφορα ειχε το τυπωμα ενος Cd απο εργοστασιο σε εργοστασιο...χαωδης!
Αν τα bits ειναι bits γιατι υπαρχουν ειδικες εκδοσεις των Cd με φροντισμενη εκτυπωση σε επιχρυσους
δισκους;Ειναι αρπαχτη;

"ευτυχώς σε σπιτικές συνθήκες (όπως στο σπίτι μου) τα προβλήματα δεν γίνονται εμφανή και μπορείς να ξεχαστείς στη μουσική..."
Δηλαδη τα αναλογικα "προβληματα" εξαφανιζονται στο σπιτικο περιβαλλον (ερωτηση:το hifi για ποιο περιβαλλον ειναι φτιαγμενο);) μεσα στον ορυμαγδο των λοιπων προβληματων που ταυτοχρονα καταβαθρωνουν το "τελειο" ψηφιακο κανοντας το να ακουγεται χειροτερο (γιατι στ'αυτια μου ετσι ακουγεται) απο αυτο που ειναι;
"ένας βασικός λόγος που αρέσει το βινύλιο είναι πως κάθε πικάπ-βραχίονας-κεφαλή κάνει κάθε φορά "mastering" στον ήχο. Δηλαδή αλλάζει τόσο ο ήχος απο το original master που κάθε σύστημα παίζει την δική του εκδοχή."
Ας παραδεχτουμε οτι αυτο ισχυει...και ας ξεχασουμε οτι η συνεργεια ειναι αυτη που κανει το καλο αναλογικο συστημα, και οχι το "ξεπεταγμα" μια κεφαλης, ενος βραχιονα ενος πλατω ή ενος phono stage...
Mε αυτη τη λογικη ποσο mastering κανουν σε αυτο που ακουμε τα ηχεια, οι ενισχυτες και τα καλωδια;
Ποσο mastering οι ηχοληπτες και το post production;
Γιατι βγαινουν ακομα και σημερα πανακριβα dac με τσιπακια εικοσαετιας (επειδη εχουν κατι το διαφορετικο);
Εκει που ειπαμε να απαλαχτουμε απο τις vintage λαμπες (κι εγω λαμπατος ειμαι!) θα πεσουμε στα vintage
chipακια;
Εδω ακομα δεν μπορουν να αποφασισουν αν θελουν oversampling ή οχι.
Αν το DSD ακουγεται καλυτερα απο το PCM...
Aνεβαζουν τη δειγματοληψια σε δυσθεωρητα υψη για να αναπαραγαγουν το 16/48!
Ουσιαστικα προσθετουν υπολογιστικα "αερα κοπανιστο" για να βγαλουν καλυτερη ποιοτητα απο κατακρεουργημενη αρχικη ποσοτητα!
Ποιος μου λεει ποσο "φταχτη" ειναι αυτη η ποιοτητα;
Καποτε ειχα γραψει σε ενα αλλο site ποσο χειμαιρα ειναι το κυνηγι της αναπαραστασης του αρχικου μουσικου γεγονοτος...
Επιμενω σε αυτο, και απλως επιλεγω πια την ψευδαισθηση που μ'αρεσει.
 

Μηνύματα
9.110
Reaction score
8.905
πιστός στις αρχές μου πάλι με pdf αγόρασα…
και χωρίς να το ακούσω φυσικά….
είπαμε ….ή είμαστε άνδρες ή δεν είμαστε…
(σκ@τά είμαστε δηλαδή, με βάση τα pdf έπρεπε να πάρω direct drive…)
Καλορίζικο Βέτ, και καλές αποδράσεις....:thumbsup: Για βάλε και καμιά φώτο στημένο... και μετά θέλω εντυπώσεις και σχόλια! :wink:
 


D

deleted user 10898

Guest
Μεγειες...καλοακουστη η αναβαθμιση...

Απο τις δεκα εντολες παραπανω ξεχωριζω:
"¨Εχοντας ακούσει δεκάδες original master και κοπές τους σε βινύλιο, στην καλύτερη των περιπτώσεων με ιδανική κοπή και καλή ποιότητα βινυλίου θα είναι πάρα πολύ κοντά στο master"
και αμεσως μετα σε τελεια αντιθεση:
"σε συνθήκες ακρόασης σε studio mastering η σε αναλυτικά ηχεία-συστήματα με χαμηλό επίπεδο περιβάλοντος θορύβου, δυστυχώς κανένα πικάπ- βινύλιο δεν περνα το test"...
Ποιο τεστ?
Ποια ακριβως ειναι τα προβληματα που εντοπιζονται;

Ειχα δει καποτε ενα τεστ που εδειχνε ποση διαφορα ειχε το τυπωμα ενος Cd απο εργοστασιο σε εργοστασιο...χαωδης!
Αν τα bits ειναι bits γιατι υπαρχουν ειδικες εκδοσεις των Cd με φροντισμενη εκτυπωση σε επιχρυσους
δισκους;Ειναι αρπαχτη;

"ευτυχώς σε σπιτικές συνθήκες (όπως στο σπίτι μου) τα προβλήματα δεν γίνονται εμφανή και μπορείς να ξεχαστείς στη μουσική..."
Δηλαδη τα αναλογικα "προβληματα" εξαφανιζονται στο σπιτικο περιβαλλον (ερωτηση:το hifi για ποιο περιβαλλον ειναι φτιαγμενο);) μεσα στον ορυμαγδο των λοιπων προβληματων που ταυτοχρονα καταβαθρωνουν το "τελειο" ψηφιακο κανοντας το να ακουγεται χειροτερο (γιατι στ'αυτια μου ετσι ακουγεται) απο αυτο που ειναι;
"ένας βασικός λόγος που αρέσει το βινύλιο είναι πως κάθε πικάπ-βραχίονας-κεφαλή κάνει κάθε φορά "mastering" στον ήχο. Δηλαδή αλλάζει τόσο ο ήχος απο το original master που κάθε σύστημα παίζει την δική του εκδοχή."
Ας παραδεχτουμε οτι αυτο ισχυει...και ας ξεχασουμε οτι η συνεργεια ειναι αυτη που κανει το καλο αναλογικο συστημα, και οχι το "ξεπεταγμα" μια κεφαλης, ενος βραχιονα ενος πλατω ή ενος phono stage...
Mε αυτη τη λογικη ποσο mastering κανουν σε αυτο που ακουμε τα ηχεια, οι ενισχυτες και τα καλωδια;
Ποσο mastering οι ηχοληπτες και το post production;
Γιατι βγαινουν ακομα και σημερα πανακριβα dac με τσιπακια εικοσαετιας (επειδη εχουν κατι το διαφορετικο);
Εκει που ειπαμε να απαλαχτουμε απο τις vintage λαμπες (κι εγω λαμπατος ειμαι!) θα πεσουμε στα vintage
chipακια;
Εδω ακομα δεν μπορουν να αποφασισουν αν θελουν oversampling ή οχι.
Αν το DSD ακουγεται καλυτερα απο το PCM...
Aνεβαζουν τη δειγματοληψια σε δυσθεωρητα υψη για να αναπαραγαγουν το 16/48!
Ουσιαστικα προσθετουν υπολογιστικα "αερα κοπανιστο" για να βγαλουν καλυτερη ποιοτητα απο κατακρεουργημενη αρχικη ποσοτητα!
Ποιος μου λεει ποσο "φταχτη" ειναι αυτη η ποιοτητα;
Καποτε ειχα γραψει σε ενα αλλο site ποσο χειμαιρα ειναι το κυνηγι της αναπαραστασης του αρχικου μουσικου γεγονοτος...
Επιμενω σε αυτο, και απλως επιλεγω πια την ψευδαισθηση που μ'αρεσει.
καλά κάνεις και επιλέγεις αυτό που σου αρέσει.
Αν καταφέρεις να μάθεις και να καταλάβεις γιατί σου αρέσει, μόνο κέρδος θα έχεις...
 



D

deleted user 10898

Guest
Ένα πολύ ενδιαφέρον σημείο των πικαπ του Dr Feickert είναι πως μπορούν να πάρουν εύκολα 12αρη βραχίονα.
Άλλωστε και ο ίδιος παραλαγές του παρακάτω προωθούσε...


Description


The Jelco SA-750L is the 12" version of the popular SA-750 tonearm.

The arm features adjustable arm height, fluid damping and a removable headshell.



Specifications


Effective length: 305mm

Overhang: 15mm

Offset angle: 19 degrees

Mounting distance: 290mm

Mounting pattern: Linn

Vertical friction: 20mg

Lateral friction: 20mg

Cartridge weight range: 4 to 12g (12-22g with heavy counterweight)

Arm height adjustment: 38 to 60mm
 

Μηνύματα
487
Reaction score
240
Τι να πω βρε Νικόλα;

Πολύ, μα ΠΟΛΥ, χοντρικά και μπακάλικα:

Περίοδος 1μsec αντιστοιχεί σε ημίτονο 1MHz.
Περίοδος 3μsec αντιστοιχεί σε ημίτονο 333,3kHz.

Συχνότητα δειγματοληψίας 48kHz σημαίνει ανώτατη συχνότητα 24kHz.
Συχνότητα δειγματοληψίας 96kHz σημαίνει ανώτατη συχνότητα 48kHz.
Συχνότητα δειγματοληψίας 192kHz σημαίνει ανώτατη συχνότητα 96kHz.

Μέχρι πού "ανεβαίνουν" τα πικάπ, μέχρι πού μπορεί να "ανέβει" ένα μαγνητόφωνο, μέχρι πού ανεβαίνουν τα μικρόφωνα, και, τέλος, μέχρι πού ακούμε;
Χοντρικά και μπακάλικα εμενα με ενδιαφέρει η δειγματοληψια παρά η απόκριση. Αν σκεφτείς ότι η γνωστή ποιότητα cd (που μας έχουν πριξει τόσα χρόνια) μπορεί να παρει μονο 44.1 δείγματα από ένα σήμα 1ΚΗz , 4.41 δείγματα σε σήμα 10KHz και 2.2 δείγματα σε σήμα 20ΚΗΖ τι άλλο να πω? Ποιος νοιαζεται για την απόκριση συχνότητας την στιγμή που δεν υπάρχει αξιοπιστια του σήματος....???
Ε τώρα σε δηγματοληψια 384ΚΗΖ κάτι αρχιζει να γινεται!
 

Μηνύματα
2.274
Reaction score
968
Aυτό το Adjust+ μπορεί να λειτουργήσει σωστά συνδέοντας την έξοδο του phono preamp στην είσοδο mic του laptop? Γίνεται αυτό? ... και πως?
 

Alex_Zapantis

Επαγγελματίας
Μηνύματα
3.070
Reaction score
3.369
Χοντρικά και μπακάλικα εμενα με ενδιαφέρει η δειγματοληψια παρά η απόκριση. Αν σκεφτείς ότι η γνωστή ποιότητα cd (που μας έχουν πριηξει τόσα χρόνια) μπορεί να παρει μονο 44.1 δείγματα από ένα σήμα 1ΚΗz , 4.41 δείγματα σε σήμα 10KHz και 2.2 δείγματα σε σήμα 20ΚΗΖ τι άλλο να πω?
...
Τίποτα να μην πεις γιατί είναι προφανές ότι δεν έχεις ιδέα περί του θέματος. 8-)

Παρόμοιες

... ΑΠΙΣΤΕΥΤΕΣ Μ@Λ@ΚΙΕΣ έχ3ζ3 το στόμα του "κορυφαίου" "μηχανικού" - 10, 20, 30 χρόνια (δε συνέχισα τη "συζήτηση" επειδή στο τέλος θα προέκυπτε παλαιότερος κι απ´ τον Edison) ηχολήπτη - τζιβάτου Φάνη της Ύψιλον...

:headbang::headbang::headbang:


Νομιμοποιήστε το μπάφο, φυλακίστε τους μπαφιάρηδες




... Ποιος νοιαζεται για την απόκριση συχνότητας την στιγμή που δεν υπάρχει αξιοπιστια του σήματος....???
Ε τώρα σε δηγματοληψια 384ΚΗΖ κάτι αρχιζει να γινεται!
:lolsign::lolsign::lol:

Τι είναι η "αξιοπιστία του σήματος"; :p
Μήπως το αν χαλάει εντός εγγύησης να στο επισκευάζουν δωρεάν; :gotcha:



...
Ε τώρα σε δηγματοληψια 384ΚΗΖ κάτι αρχιζει να γινεται!
Ε αυτό έλειπε, να μη γινόταν και τίποτα ενώ δαγκώνουν το έρμο το σήμα 384.000 φορές το δευτερόλεπτο. :lol:



Και ΝΑΙ!

Οποιος εμφανίζεται τέλη Οκτώβρη, αργά το απόγευμα της Κυριακής στην έκθεση High End με μπλου τζιν, πουκάμισο και σανδάλι (χωρίς κάλτσα) - και παραδίδει μαθήματα - ΕΙΝΑΙ ΤΖΙΒΑΤΟΣ.

ΠΑΕΙ ΚΑΙ ΤΕΛΕΙΩΣΕ!
 

Μηνύματα
487
Reaction score
240
Τίποτα να μην πεις γιατί είναι προφανές ότι δεν έχεις ιδέα περί του θέματος. 8-)

Παρόμοιες









:lolsign::lolsign::lol:

Τι είναι η "αξιοπιστία του σήματος"; :p
Μήπως το αν χαλάει εντός εγγύησης να στο επισκευάζουν δωρεάν; :gotcha:





Ε αυτό έλειπε, να μη γινόταν και τίποτα ενώ δαγκώνουν το έρμο το σήμα 384.000 φορές το δευτερόλεπτο. :lol:
Κρίμα που δεν έχω ιδέα (το ιδιο ισχύει και κάποιους μηχανικούς ήχου που υποστηριζουν ότι ενας "ζωντανος" ήχος ,ακούγοντας τον μέσω δίσκου βινυλίου δεχεσαι περίπου το 30% ενώ μεσω ψηφιακή μορφή λιγότερο από 5%..) είμαστε όλοι λαθοςκαι συ τα ξέρεις όλα.

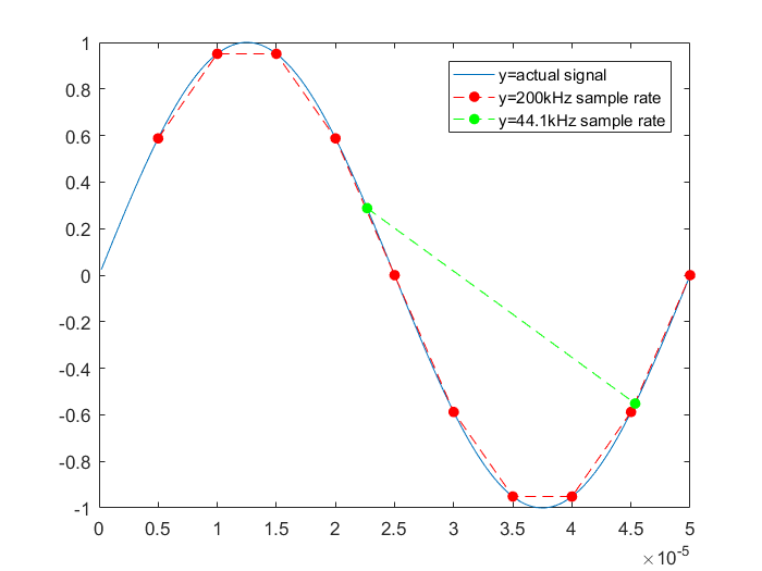
1kHz , Fs=44.1kHz
1000Hz_fs44100Hz_5bits_time-1024x662.png


20kHz , Fs=44.1kHz & 200kHz
OF4zP.png
 
Last edited:



Alex_Zapantis

Επαγγελματίας
Μηνύματα
3.070
Reaction score
3.369
Κρίμα που δεν έχω ιδέα (το ιδιο ισχύει και κάποιους μηχανικούς ήχου που υποστηριζουν ότι ενας "ζωντανος" ήχος ,ακούγοντας τον μέσω δίσκου βινυλίου δεχεσαι περίπου το 30% ενώ μεσω ψηφιακή μορφή λιγότερο από 5%..) είμαστε όλοι λαθοςκαι συ τα ξέρεις όλα.

1kHz , Fs=44.1kHz
View attachment 115816

20kHz , Fs=44.1kHz & 200kHz
View attachment 115817

Να τους πεις να τον κάνουν ένεση. :p
Αν την κάνουν ενδοφλέβια θα "δεχτούν" "περίπου το 90%", ενώ αν την κάνουν στον kolo θα "δεχτούν" "περίπου το 75%". :fuckyou:




Κατά τα άλλα:


1. Απόλυτη ασχετίλα περί digital audio (και όχι μόνο...), και ταυτόχρονα ύφος αυθεντίας: CHECK! :dance2:

Χοντρικά και μπακάλικα εμενα με ενδιαφέρει η δειγματοληψια παρά η απόκριση. Αν σκεφτείς ότι η γνωστή ποιότητα cd (που μας έχουν πριξει τόσα χρόνια) μπορεί να παρει μονο 44.1 δείγματα από ένα σήμα 1ΚΗz , 4.41 δείγματα σε σήμα 10KHz και 2.2 δείγματα σε σήμα 20ΚΗΖ τι άλλο να πω? Ποιος νοιαζεται για την απόκριση συχνότητας την στιγμή που δεν υπάρχει αξιοπιστια του σήματος....???
Ε τώρα σε δηγματοληψια 384ΚΗΖ κάτι αρχιζει να γινεται!


2. Ανικανότητα στην ορθογραφία: CHECK! :dance2::dance2:

...που μας έχουν πριξει τόσα χρόνια
...
...
δηγματοληψια ...



3. Ανικανότητα σύνταξης στοιχειωδών προτάσεων: CHECK! :dance2::dance2::dance2:

... το ιδιο ισχύει και κάποιους μηχανικούς ήχου που υποστηριζουν ότι ενας "ζωντανος" ήχος ,ακούγοντας τον μέσω δίσκου βινυλίου δεχεσαι περίπου το 30% ενώ μεσω ψηφιακή μορφή λιγότερο από 5%..
...



Δε μου λες, τι γνώμη έχεις για τα Μνημόνια; :D



Να όμως και κάπου που έχεις δίκιο:

... είμαστε όλοι λαθοςκαι συ τα ξέρεις όλα.
Όντως.
Δεν κάνετε απλά λάθος. :D
Η ίδια σας η ύπαρξη είναι λάθος. :fuckyou:




ΥΓ.
Δε μου λες, διαβάζεις και βιβλία;
Επειδή τα όσα γράφεις μου θυμίζουν έναν τυπάκο από το παρελθόν...


[DOUBLEPOST=1547737715][/DOUBLEPOST]
oxi ρε φιλε!
Nai! Nai! Nai!
 



Μηνύματα
487
Reaction score
240
Να τους πεις να τον κάνουν ένεση. :p
Αν την κάνουν ενδοφλέβια θα "δεχτούν" "περίπου το 90%", ενώ αν την κάνουν στον kolo θα "δεχτούν" "περίπου το 75%". :fuckyou:




Κατά τα άλλα:


1. Απόλυτη ασχετίλα περί digital audio (και όχι μόνο...), και ταυτόχρονα ύφος αυθεντίας: CHECK! :dance2:





2. Ανικανότητα στην ορθογραφία: CHECK! :dance2::dance2:








3. Ανικανότητα σύνταξης στοιχειωδών προτάσεων: CHECK! :dance2::dance2::dance2:






Δε μου λες, τι γνώμη έχεις για τα Μνημόνια; :D



Να όμως και κάπου που έχεις δίκιο:



Όντως.
Δεν κάνετε απλά λάθος. :D
Η ίδια σας η ύπαρξη είναι λάθος. :fuckyou:




ΥΓ.
Δε μου λες, διαβάζεις και βιβλία;
Επειδή τα όσα γράφεις μου θυμίζουν έναν τυπάκο από το παρελθόν...


[DOUBLEPOST=1547737715][/DOUBLEPOST]

Nai! Nai! Nai!
Υπόδειγμα "σοβαρού" ανθρώπου : CHECK
 

Alex_Zapantis

Επαγγελματίας
Μηνύματα
3.070
Reaction score
3.369
Υπόδειγμα "σοβαρού" ανθρώπου : CHECK

Να τους πεις να τον κάνουν ένεση. :p
Αν την κάνουν ενδοφλέβια θα "δεχτούν" "περίπου το 90%", ενώ αν την κάνουν στον kolo θα "δεχτούν" "περίπου το 75%". :fuckyou:




Κατά τα άλλα:


1. Απόλυτη ασχετίλα περί digital audio (και όχι μόνο...), και ταυτόχρονα ύφος αυθεντίας: CHECK! :dance2:





2. Ανικανότητα στην ορθογραφία: CHECK! :dance2::dance2:








3. Ανικανότητα σύνταξης στοιχειωδών προτάσεων: CHECK! :dance2::dance2::dance2:






Δε μου λες, τι γνώμη έχεις για τα Μνημόνια; :D



Να όμως και κάπου που έχεις δίκιο:



Όντως.
Δεν κάνετε απλά λάθος. :D
Η ίδια σας η ύπαρξη είναι λάθος. :fuckyou:




ΥΓ.
Δε μου λες, διαβάζεις και βιβλία;
Επειδή τα όσα γράφεις μου θυμίζουν έναν τυπάκο από το παρελθόν...


[DOUBLEPOST=1547737715][/DOUBLEPOST]

Nai! Nai! Nai!

4. Ανικανότητα να κάνεις Quote: CHECK! :dance2::dance2::dance2::dance2:


EDIT:
Τα κατάφερες με την τρίτη μπαγασάκο...:D
Μπράβο!
 

costas EAR

Δόκτωρ ΔιαXύσιος
Editor
Μηνύματα
60.746
Reaction score
147.570
Υπόδειγμα "σοβαρού" ανθρώπου : CHECK
Σοβαρά τώρα, αυτά που έγραψες, δείχνουν ότι στα τεχνικά θέματα είσαι εντελώς άσχετος.
Εντελώς όμως.
Ό,τι έγραψες, όλα, είναι λάθος.
Πιο λάθος, δεν υπάρχει. Το τερμάτισες.

Δυστυχώς εδώ μέσα γνωρίζουμε τα βασικά, και ίσως και κάτι παραπάνω. Δε σε παίρνει να μας λες τέτοια προφανή λάθη, τα οποία ομολογουμένως σε κύκλους χαλιεντάδων μπορεί να έχουν μεγάλο σουξέ.
 

Μηνύματα
14.439
Reaction score
12.131
Ωπ! Τί γίνεται εδώ; Περιμένετε κι εμένα!

Αν σκεφτείς ότι η γνωστή ποιότητα cd (που μας έχουν πριξει τόσα χρόνια) μπορεί να παρει μονο 44.1 δείγματα από ένα σήμα 1ΚΗz , 4.41 δείγματα σε σήμα 10KHz και 2.2 δείγματα σε σήμα 20ΚΗΖ τι άλλο να πω?
Τίποτα να μην πεις. Έχουν μιλήσει τα μαθηματικά και τα θεωρήματα που λένε ότι τα παραπάνω σήματα μπορούν να περιγραφούν από τα δείγματα που περιγράφεις παραπάνω.
"ΜΟΝΟ ΕΝΑ πεπερασμένου εύρους σήμα (band limited, αν θυμάμαι καλά την ορολογία) μπορεί να περιγραφεί από τα παραπάνω δείγματα."
 


Τελευταια Μηνυματα

Staff online

ΣΤΑΤΙΣΤΙΚΑ

Threads
177.447
Μηνύματα
3.080.058
Members
38.700
Νεότερο μέλος
kchannel
Top