Ακουστικη χωρου, συστηματα ισοσταθμισης, μπας μανατζμεντ, παθητικη φροντιδα


Μηνύματα
19.470
Reaction score
23.524
Μα ρε παιδιά δεν θα βάλεις μικρού πάχους "απορρόφηση". Αυτά που λέτε είναι ill efects μιας τέτοιας κατάστασης. Οι διαχυτές έτσι και αλλιώς δεν σώζουν μια τέτοια κατάσταση. Δεν "δημιουργούν" τίποτε και μάλιστα στις συχνότητες και για τους "διαχυτές" που φαντάζομαι μιλάτε για οικιακό χώρο.

Καναπέδες κλπ πάλι άλλο θέμα καθώς είναι όλοι κλειστών κυψελίδων , δεν κάνουν τίποτε στα χαμηλά. Αλλο πράγμα κάνουν εάν και όταν κάνουν.

Εξάλλου για στούντιο μιλάτε, για οικιακούς χώρους, ή γενικά (γενικές αρχές) ; Τεσπά δεν σας καταλαβαίνω.
 
Last edited:

Μηνύματα
5.450
Reaction score
6.619
Όσο αναφορά για τις συντονισμένες που είναι και το δυσκολότερο όλων και είναι μια πραγματική πρόκληση δεν ισχύει το ίδιο πάντα με ένα στούντιο , αλλά να μείνουμε στα της οικίας.
Η υλοποίηση αλλά και η τοποθέτηση τους παίζει το σημαντικότερο ρόλο .
Στις χαμηλές τα στάσιμα είναι που εμφανίζονται σε συγκεκριμένες συχνότητες .
Εάν πας με εμφανή απορρόφηση θα πρέπει να ακολουθήσεις τον κανόνα του 1/4,μήκους κύματος , άρα χάσαμε το διαμέρισμα μας έγινε κατάληψη 😃(αυτο για τα παχη που λεει ο thva)
Εάν πας με συντονισμενες τις συντονιζεις εκεί που έχεις το πρόβλημα και τις τοποθετείς κοντά στα τοιχώματα σε συμβολες άρα ελάχιστος συγκριτικα χώρος ...
Οι μεμβράνες ειναι περισσοτερο αποτελεσματικές από τις εμφανους απορρφησης αλλά πάλι θέλουν επιφάνεια , όχι τόσο βάθος ...θέλει δουλειά και να τις συντονιζεις , γιατί αναλόγως τον τύπο της μεμβράνης θέλει το αναλόγο τέντωμα , υπάρχουν πολλές μεθοδοι, τουλάχιστον στη επιφάνεια που εγώ διαθεσα....φρίκη ...επαιζα με γραμμάρια ,κιλά κενά αέρος για ανάρτηση το έκαψα..
Οι Helmholtz είναι οι πιο αποτελεσματικές αλλά θέλουν εξαιρετική ακρίβεια και μπορούν μονο σε ένα εύρος 4-5 hertz να δουλέψουν .(εξαρταται , μπορεις να τις κανεις και ποιο ευραιου φασματος αλλα ετσι εχεις την ιδια αποδοση με τις μεμβρανες)
Μπορεις μάλιστα από 3-5 db να ρίξεις σε πεδίο απόκριση συχνότητας με εξίσου φυσικά εντυπωσιακά αποτελέσματα σε πεδίο χρόνου.
Όποια προσπάθεια για παραπάνω αρχίζουν και σφυρανε σε άλλα διπλανές συχνότητες 🤬.
Όταν ανεβαίνεις σε κιλά στα ινώδη απορροφητικά τεινεις προς τις μεμβράνες ,αφού γίνονται άκαμπτα.

Mε λιγα λογια πρακτικα βαλτε σαμπ για να ελεγξετε τις χαμηλες και εμφανη απορροφηση σε περπτωσεις θεσης ακροασης πλησιον τοιχου .
 

toulou

Δικαναλίδης
Μηνύματα
1.678
Reaction score
2.362
Οι Helmoltz είναι εντελώς σπαστικοί, κάνουν μόνο για εντελώς εξειδικευμένη και στοχευμένη χρήση και όχι σαν μπασοπαγίδες δωματίου. Για κάτι τέτοιο, εκτός του πολύ κρίσιμου συντονισμού, θα χρειαζόσουν και πολλούς
 

Μηνύματα
19.470
Reaction score
23.524
Οι "μπασοπαγίδες" αυτές (μεμβρανής, Χελμπολτζ κλπ παραλλαγές τους) ..,είναι περιορισμένου εύρους εάν πούμε να τηρήσουμε τον ακριβώς ορισμό τους και χρήση τους. ¨Αντε της μεμβράνης να τους δώσουμε ένα κάπως μεγαλύτερο εύρος. Τότε όμως δεν είναι ακριβώς ο ορισμός τους σαν απλώς μεμβράνης είναι mixed. Αυτό σας λέω. Εάν ο σκοπός είναι να κανεί treatment μόνο σε 2-3 βασικούς ιδιορρυθμούς δωματιου τότε μόνο έχουν λογική και χρήση. Τα χαμηλά δεν είναι μόνο αυτό. Συν τα προβληματα ακρίβειας που λέτε (καθώς ούτε τα υλικά είναι διαβαθμισμένα σωστά ή μετρημένα αλλά ούτε και η κατασεκυή που μπορεί να αλλάξει και αυτή και ο συντονισμός της απο αλλαγή χωροταξική και πολλά άλλα ακόμη και με τις συνθήκες θερμοκρασίας και υγρασίας.

Το πάχος ναι είναι μεγάλο αλλά εάν βάλεις πολλές με μικρότερο πάχος έστω (αλλά όχι κάτω απο 30 cm) πάλι θα γίνει απορρόφηση μέχρι αρκετά χαμηλά καθώς το χαμηλό "βλέπει" αθροιστικά στην περίπτωση αυτή (αυτό μόνο μας σώζει).

Τώρα τα πολύ χαμηλά < 40 HZ έ ναι θα χρειαστείς συντονισμένες. Αλλά αυτά είναι για εσάς που έχετε subsss χα χα. και δεν ακούτε κλασική χα χα.
 

Μηνύματα
5.689
Reaction score
9.900
Οι "μπασοπαγίδες" αυτές (μεμβρανής, Χελμπολτζ κλπ παραλλαγές τους) ..,είναι περιορισμένου εύρους εάν πούμε να τηρήσουμε τον ακριβώς ορισμό τους και χρήση τους. ¨Αντε της μεμβράνης να τους δώσουμε ένα κάπως μεγαλύτερο εύρος. Τότε όμως δεν είναι ακριβώς ο ορισμός τους σαν απλώς μεμβράνης είναι mixed. Αυτό σας λέω. Εάν ο σκοπός είναι να κανεί treatment μόνο σε 2-3 βασικούς ιδιορρυθμούς δωματιου τότε μόνο έχουν λογική και χρήση. Τα χαμηλά δεν είναι μόνο αυτό. Συν τα προβληματα ακρίβειας που λέτε (καθώς ούτε τα υλικά είναι διαβαθμισμένα σωστά ή μετρημένα αλλά ούτε και η κατασεκυή που μπορεί να αλλάξει και αυτή και ο συντονισμός της απο αλλαγή χωροταξική και πολλά άλλα ακόμη και με τις συνθήκες θερμοκρασίας και υγρασίας.

Το πάχος ναι είναι μεγάλο αλλά εάν βάλεις πολλές με μικρότερο πάχος έστω (αλλά όχι κάτω απο 30 cm) πάλι θα γίνει απορρόφηση μέχρι αρκετά χαμηλά καθώς το χαμηλό "βλέπει" αθροιστικά στην περίπτωση αυτή (αυτό μόνο μας σώζει).

Τώρα τα πολύ χαμηλά < 40 HZ έ ναι θα χρειαστείς συντονισμένες. Αλλά αυτά είναι για εσάς που έχετε subsss χα χα. και δεν ακούτε κλασική χα χα.
Οι Helmholtz δεν αποτελούν προτεραιότητα, μόνον αν δεν γίνεται αλλιώς και θέλεις στοχευμενα να κατά πολεμήσεις κάποια συχνότητα. Στο περίπου θα κάνεις μεγαλύτερη ζημιά. Ρώτα εδώ μέσα πόσοι έχουν χρησιμοποιήσει τέτοιου είδους. Κανένας.

Για τις μεμβράνες, ναι είναι κάτι που μπορείς να χρησιμοποιήσεις αλλά απαιτούν πάλι όγκο.
Δες για παράδειγμα αυτές που διαθέτει μια αναγνωρισμενη εταιρεία η mbakustik. Δες και την τιμή στο τέλος.
Format: 75 x 75 cm (W x H)
two housing depths: B520 and B550: 35 cm
B620 and B650: 55 cm
two modes of operation: Type A: individually tuned 20 – 60 Hz ± 1 Hz Type B: broadband effective from approx. 30 Hz (B650B and B620B) from approx. 40 Hz (B550B and B520B) Price: EUR 840/piece incl

Εμένα μ άρεσε αυτή η μίξη μεμβράνης και απορρόφησης εξωτερικά που τοποθέτησαν στο TU του Graz.
To σκίτσο που έβαλα πριν κάποια ποστς
Αν βγάλεις την εξωτερική απορρόφηση τότε λειτουργεί μόνον ως μεμβράνη και δίνει αλλά αποτελέσματα.
Συνήθως στην παθητική φροντίδα χρησιμοποιείται ένας συνδυασμός σε επιλεγμένες θέσεις από όλα αυτά τα εργαλεία, κατόπιν μελέτης.
Μελέτη πάλι ρώτα ποιος έχει κάνει εδώ μέσα.
 


Μηνύματα
5.689
Reaction score
9.900
Εγώ ξέρω 2 -3 άτομα
Με εντυπωσιακά αποτελέσματα
Τα αποτελέσματα θα είναι σίγουρα εξαιρετικά.
Τα προβλήματα ξεκινούν όταν γίνεται μελέτη για κάποιον χώρο και κάποιος την κάνει κοπυ πειστ για τον δικό του. :biggrin:
 

Μηνύματα
19.470
Reaction score
23.524
Οι Helmholtz δεν αποτελούν προτεραιότητα, μόνον αν δεν γίνεται αλλιώς και θέλεις στοχευμενα να κατά πολεμήσεις κάποια συχνότητα. Στο περίπου θα κάνεις μεγαλύτερη ζημιά. Ρώτα εδώ μέσα πόσοι έχουν χρησιμοποιήσει τέτοιου είδους. Κανένας.

Για τις μεμβράνες, ναι είναι κάτι που μπορείς να χρησιμοποιήσεις αλλά απαιτούν πάλι όγκο.
Δες για παράδειγμα αυτές που διαθέτει μια αναγνωρισμενη εταιρεία η mbakustik. Δες και την τιμή στο τέλος.
Format: 75 x 75 cm (W x H)
two housing depths: B520 and B550: 35 cm
B620 and B650: 55 cm
two modes of operation: Type A: individually tuned 20 – 60 Hz ± 1 Hz Type B: broadband effective from approx. 30 Hz (B650B and B620B) from approx. 40 Hz (B550B and B520B) Price: EUR 840/piece incl

Εμένα μ άρεσε αυτή η μίξη μεμβράνης και απορρόφησης εξωτερικά που τοποθέτησαν στο TU του Graz.
To σκίτσο που έβαλα πριν κάποια ποστς
Αν βγάλεις την εξωτερική απορρόφηση τότε λειτουργεί μόνον ως μεμβράνη και δίνει αλλά αποτελέσματα.
Συνήθως στην παθητική φροντίδα χρησιμοποιείται ένας συνδυασμός σε επιλεγμένες θέσεις από όλα αυτά τα εργαλεία, κατόπιν μελέτης.
Μελέτη πάλι ρώτα ποιος έχει κάνει εδώ μέσα.
Τα ξέρεις βλέπω, για αυτό συνεννοουμαστε γρήγορα και καλά. :D

Ναι αυτή είναι η λογική και ο τρόπος να προσεγγίσεις το θέμα. Σε οικία ή μικρό στούντιο τουλάχιστον.

Δεν ξέρω εάν τα έχει κανένας. Εγώ έχω κάνει. χι χι. (κάποιες που ανήκουν στην δεύτερη περίπτωση που περιγράφεις για να πιάσω γενικά μεγαλύτερο εύρος. Έχω και διαχυτές σε επιλεγμένα σημεία. Δεν φαίνεται τίποτε σχεδόν. Είναι ενταγμένα -ενσωματωμένα στην διακόσμηση. Μόνο οι διαχυτές φαίνονται αλλά είναι ωραίοι (τσεκαρισμένο και εγκεκριμένο και απο δύο γυναίκες χα χα)
 

Μηνύματα
5.689
Reaction score
9.900
Εννοείται ότι συνεννοουμαστε, αφού πανκηδες είμαστε :biggrin:
Οι άλλοι δεν μας καταλαβαίνουν :biggrin:

Βγάλαν και καινούργιο άλμπουμ :)
 

Μηνύματα
5.450
Reaction score
6.619
Φυσικα και δεν ειναι μονο τα στασιμα το θεμα στις χαμηλες, αλλα ειναι το σημαντικοτερο , το χειροτερο ....
Μy name is nobody :p
Kαι δεν ειναι εμφανη δεν τις βλεπεις (σε αυτη τη συχνοτητα κρυβονται)
Helmholtz power.jpg Waterfall before.jpg Waterfall after.jpg
 

Μηνύματα
7.852
Reaction score
5.738
Τα αποτελέσματα θα είναι σίγουρα εξαιρετικά.
Τα προβλήματα ξεκινούν όταν γίνεται μελέτη για κάποιον χώρο και κάποιος την κάνει κοπυ πειστ για τον δικό του. :biggrin:
Φυσικά ισχύει
Βέβαια συνήθως οι 9/10 έχουν πρόβλημα στα 24 κύκλους πχ όποτε πιάνει το κόλπο
Επίσης συνήθως προτού βάλεις μετρας τον χώρο σου και ξέρεις που έχεις πρόβλημα
 

Μηνύματα
5.689
Reaction score
9.900
Για τις διατρητες σανίδες απο γύψο ή ξύλο με βάση αυτά που διάβασα από μελέτες και κείμενα που κυκλοφορούν στο διαδίκτυο αναφέρονται τα εξής.

Πρόκειται φυσικά για ενεργές διατάξεις απορρόφησης, δηλαδή κατατάσσονται στην ίδια κατηγορία με τους Helmholtz resonator & plate resonators.
Αυτού του τύπου οι διατάξεις τοποθετουνται στα σημεία μέγιστης πιέσης που εμφανίζονται στα τοιχωματικά όρια.
,,Absorption through air resonance occurs in Helmholtz resonators, perforated and slotted plate absorbers instead, with both mass and spring being formed by the air itself.
,,With all three types, it is possible that the plate itself is additionally stimulated to vibrate becomes. This can certainly be desirable, although it is then a mixture of two
absorption principles.,,
You choose the dimensions of the mouth openings and the distance between the plate and the wall accordingly, this air-mass-spring system acts as a resonance absorber,,
Με αναλογίες διάτρησης κάτω από 10%, η πλάκα λειτουργεί εν μέρει σαν μεμβρανη συντονισμού.

Υπάρχει ενας τύπος που κατά προσέγγιση δίνει την συχνότητα συντονισμού για τις διάτρητες.
Βλέπω οτι δουλεύει στην παρακάτω περίπτωση. Με την προσθήκη πορώδους ή ινώδους υλικού απορρόφησης πίσω ή μπροστά απο την πλάκα η συμπεριφορά της αλλάζει.
1731776420447.png


d= απόσταση από τον τοίχο
p= επιφάνεια των τρυπών ως ποσοστό
l=παχος σανιδας
r= ακτίνα της τρύπας
l= συντελεστής διόρθωσης του ανοίγματος.

Ας παρουμε την παρακάτω διάτρητη.
1731776915493.png

Thickness: 15-19mm depending on material

Με d=6,6cm / p=0,11 / l=1,5cm και r=0,6cm θα παρουμε μια συχνότητα συντονισμού fo = 444Hz
:p

1731776976559.png
 

Μηνύματα
5.689
Reaction score
9.900
Ενδιαφέρον παρουσιάζουν και οι σανίδες από ξύλο, γύψο ή και άλλο υλικό.

Αυτές οι σανίδες με τα ανοίγματα/ σχισμές συμπεριφερόνται ακριβώς όπως και οι διάτρητες σανίδες με τις τρύπες. Βασίζονται στην ίδια αρχή λειτουργίας όπου εμφανίζουν μια συχνότητα συντονισμού. Να σημειωθεί ότι και στις 2 περιπτώσεις πραγματοποιείται μια ελαφριά διάχυση στις υψηλες συχνότητες που τις κάνει ευνοικές για χρήση.
Σύμφωνα με τον κύριο Veith έρχονται να καλύψουν το κενό ανάμεσα στις μεμβράνες συντονισμού και τους παθητικούς απορροφητές δλδ τα πορώδη και ινώδη υλικά που δουλεύουν κατά κανόνα σε ανώτερες συχνότητες και ως εκ τούτου η χρήση τους είναι επιθυμητή.
1731852332171.png


1731852350381.png


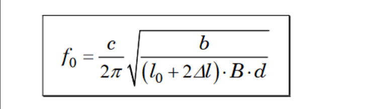
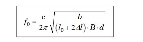
Για τον υπολογισμό της συχνότητας συντονισμού βρήκα έναν τύπο που δείχνει τουλάχιστον ξεκάθαρα τους παράγοντες που επιρρεάζουν την συχνότητα που έχουν την μέγιστη απόδοση.

1731854063736.png
 

Μηνύματα
3.946
Reaction score
6.238
Άρα, σύμφωνα με αυτά παραπάνω συμπεραίνουμε ότι όσο αυξάνεται το πάχος της σανίδας και η απόσταση από τον τοίχο μειώνεται η συχνότητα συντονισμού και όσο περισσότερες τρύπες έχει η σανίδα αυξάνεται η συχνότητα συντονισμού. Βέβαια φαντάζομαι στο άρθρο θα αναφέρονται και τα χαρακτηριστικά της σανίδας.
 

Μηνύματα
5.689
Reaction score
9.900
1731855367000.png


Η μελέτη επικεντρώνεται στις σανίδες με σχισμή.

Από τον τύπο όπως αναφέρεται είναι φανερό ότι αύξηση του πλάτους/ανοίγματος της σχισμής (b) έχει σαν συνέπεια την αύξηση της fo.
Πτώση έχουμε όταν αυξάνεται η απόσταση της σανίδας απο τον τοίχο (d) ή το πάχος της σανίδας (lo) ή και η αποσταση μεταξύ των σχισμών (B).

Με αύξηση της απόστασης απο τον τοίχο
1731856219774.png


Με αύξηση τους πάχους της σανίδας
1731856351358.png


Περισσότερα στον παρακάτω σύνδεσμο
 

Μηνύματα
5.689
Reaction score
9.900
Just as important as good acoustics is natural light, which is why we chose to include a diffusion window in the solution. This does not block out the light like an absorber would, and—aside from being effective—is rather eye-catching.

67d96d0d2544f68eddfed51e_DSC03514-EDIT.jpg
 





Μέλη online

ΣΤΑΤΙΣΤΙΚΑ

Threads
176.312
Μηνύματα
3.048.026
Members
38.538
Νεότερο μέλος
intergrale
Top